Respuestas autonómicas reducidas ante estímulos emocionales en el alcoholismo: la relevancia de la impulsividad
DOI:
https://doi.org/10.20882/adicciones.1146Palabras clave:
Dependencia al alcohol, Respuestas autonómicas, Rxperiencia emocional, Impulsividad, Tasa cardíaca, Conductancia de la piel.Resumen
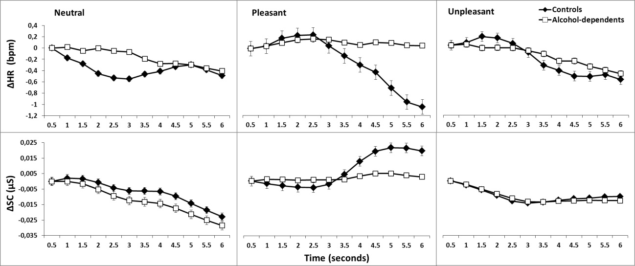
La dependencia al alcohol está asociada con anormalidades en el procesamiento de las emociones y comportamientos impulsivos en la búsqueda de alcohol. Sin embargo, pocos estudios han analizado las respuestas emocionales hacia estímulos motivacionalmente relevantes en personas dependientes al alcohol usando medidas tanto autonómicas como subjetivas. En este estudio se analizó la tasa cardiaca (TC), la conductancia de la piel (CP) y las respuestas subjetivas a estímulos emocionales cotidianos en individuos dependientes al alcohol, y su asociación con la impulsividad y el consumo de alcohol. La TC y la CP fueron registradas en 28 participantes dependientes al alcohol y en 31 participantes sanos durante la visualización pasiva de imágenes emocionales placenteras, desagradables y neutras. Posteriormente, los participantes evaluaron valencia, activación y dominancia de las imágenes y completaron la Escala de Impulsividad de Barratt. Los participantes dependientes mostraron respuestas reducidas en TC y CP, tanto hacia las imágenes emocionales positivas como negativas. En el caso de la CP, estas respuestas se asociaron a la impulsividad. Los participantes dependientes al alcohol mostraron una disociación entre las respuestas fisiológicas y subjetivas, con unas respuestas autonómicas disminuidas y unas respuestas subjetivas normales. Estos resultados sugieren que los individuos dependientes al alcohol tienen problemas en utilizar el feedback fisiológico emocional al responder a estímulos emocionales relevantes, y proporcionan una evidencia inicial de la contribución de la impulsividad a los déficits de procesamiento emocional en esta población. Estos resultados son congruentes con el papel clave que juega la experiencia emocional y la impulsividad en el abuso de sustancias.Citas
Addolorato, G., Leggio, L., Ferrulli, A., Cardone, S., Vonghia, L., Mirijello, A., … Gasbarrini, G. (2007). Effectiveness and safety of baclofen for maintenance of alcohol abstinence in alcohol-dependent patients with liver cirrhosis: randomised, double-blind controlled study. Lancet, 370, 1915–1922. doi:10.1016/S0140-6736(07)61814-5.
Allen, J. P., Wurst, F. M., Thon, N. & Litten, R. Z. (2013). Assessing the drinking status of liver transplant patients with alcoholic liver disease. Liver Transplantation, 19, 369–376. doi:10.1002/lt.23596.
Askgaard, G., Tolstrup, J. S., Gerds, T. A., Hamberg, O., Zierau, L. & Kjær, M. S. (2016). Predictors of heavy drinking after liver transplantation for alcoholic liver disease in Denmark (1990-2013): a nationwide study with competing risks analyses. Scandinavian Journal of Gastroenterology, 51, 225–235. doi:10.3109/00365521.2015.1067903.
Barrio, P., Teixidor, L., Rico, N., Bruguera, P., Ortega, L., Bedini, J. L. & Gual, A. (2016). Urine Ethyl Glucuronide Unraveling the Reality of Abstinence Monitoring in a Routine Outpatient Setting: A Cross-Sectional Comparison with Ethanol, Self Report and Clinical Judgment. European Addiction Research, 22, 243–248. doi:10.1159/000445741.
Beresford, T. P. & Everson, G. T. (2000). Liver transplantation for alcoholic liver disease: bias, beliefs, 6-month rule, and relapse--but where are the data? Liver Transplantation, 6, 777–778.doi:10.1053/jlts.2000.19027.
Bradley, K. A. & Kivlahan, D. R. (2014). Bringing patient-centered care to patients with alcohol use disorders. JAMA, 311, 1861–1862. doi:10.1001/jama.2014.3629.
Bunzel, B. & Laederach-Hofmann, K. (2000). Solid organ transplantation: are there predictors for posttransplant noncompliance? A literature overview. Transplantation, 70, 711–716.
Burra, P., Senzolo, M., Adam, R., Delvart, V., Karam, V., Germani, G. & Neuberger, J. (2010). Liver transplantation for alcoholic liver disease in Europe: a study from the ELTR (European Liver Transplant Registry). American Journal of Transplantation, 10, 138–148. doi:10.1111/j.1600-6143.2009.02869.x.
Carbonneau, M., Jensen, L. A., Bain, V. G., Kelly, K., Meeberg, G. & Tandon, P. (2010). Alcohol use while on the liver transplant waiting list: a single-center experience. Liver Transplantation, 16, 91–97. doi:10.1002/lt.21957.
CDER. (2015). Alcoholism: Developing Drugs for Treatment Guidance for Industry. Retrieved at http://www.fda.gov/downloads/drugs/guidancecomplianceregulatoryinformation/guidances/ucm433618.pdf.
Conn, V. S., Ruppar, T. M., Chase, J.-A. D., Enriquez, M. & Cooper, P. S. (2015). Interventions to Improve Medication Adherence in Hypertensive Patients: Systematic Review and Meta-analysis. Current Hypertension Reports, 17, 94. doi:10.1007/s11906-015-0606-5.
Cuadrado, A., Fábrega, E., Casafont, F. & Pons-Romero, F. (2005). Alcohol recidivism impairs long-term patient survival after orthotopic liver transplantation for alcoholic liver disease. Liver Transplantation, 11, 420–426. doi:10.1002/lt.20386.
Dawwas, M. F., Gimson, A. E., Lewsey, J. D., Copley, L. P. & van der Meulen, J. H. P. (2007). Survival after liver transplantation in the United Kingdom and Ireland compared with the United States. Gut, 56, 1606–1613. doi:10.1136/gut.2006.111369.
de Beaurepaire, R., Lukasiewicz, M., Beauverie, P., Castéra, S., Dagorne, O., Espaze, R., … Molimard, R. (2007). Comparison of self-reports and biological measures for alcohol, tobacco, and illicit drugs consumption in psychiatric inpatients. European Psychiatry, 22, 540–548. doi:10.1016/j.eurpsy.2007.05.001.
De Gottardi, A., Spahr, L., Gelez, P., Morard, I., Mentha, G., Guillaud, O., … Dumortier, J. (2007). A simple score for predicting alcohol relapse after liver transplantation: results from 387 patients over 15 years. Archives of Internal Medicine, 167, 1183–1188. doi:10.1001/archinte.167.11.1183.
Di Martino, V., Sheppard, F. & Vanlemmens, C. (2012). Early liver transplantation for severe alcoholic hepatitis. The New England Journal of Medicine, 366, 478–479. doi:10.1056/NEJMc1114241#SA3.
DiMartini, A., Magill, J., Fitzgerald, M. G., Jain, A., Irish, W., Khera, G. & Yates, W. (2000). Use of a high-risk alcohol relapse scale in evaluating liver transplant candidates. Alcoholism, Clinical and Experimental Research, 24, 1198–1201.
Dom, G., Wojnar, M., Crunelle, C. L., Thon, N., Bobes, J., Preuss, U. W., … Wurst, F. M. (2015). Assessing and treating alcohol relapse risk in liver transplantation candidates. Alcohol and Alcoholism, 50, 164–172. doi:10.1093/alcalc/agu096.
EASL clinical practical guidelines: management of alcoholic liver disease. (2012). Journal of Hepatology, 57, 399–420. doi:10.1016/j.jhep.2012.04.004.
EASL Clinical Practice Guidelines: Liver transplantation. (2015). Journal of Hepatology, 64, 433–485. doi:10.1016/j.jhep.2015.10.006.
Egawa, H., Nishimura, K., Teramukai, S., Yamamoto, M., Umeshita, K., Furukawa, H. & Uemoto, S. (2014). Risk factors for alcohol relapse after liver transplantation for alcoholic cirrhosis in Japan. Liver Transplantation, 20, 298–310. doi:10.1002/lt.23797.
EMA. (2010). Development of medicinal products for the treatment of alcohol dependence. Retrieved at http://www.ema.europa.eu/docs/en_GB/document_library/Scientific_guideline/2010/03/WC500074898.pdf
EMCDDA. (2015). European Drug Report 2015: Trends and Developments.
Erim, Y., Böttcher, M., Dahmen, U., Beck, O., Broelsch, C. E. & Helander, A. (2007). Urinary ethyl glucuronide testing detects alcohol consumption in alcoholic liver disease patients awaiting liver transplantation. Liver Transplantation, 13, 757–761. doi:10.1002/lt.21163.
Erim, Y., Böttcher, M., Schieber, K., Lindner, M., Klein, C., Paul, A., … Helander, A. (2016). Feasibility and Acceptability of an Alcohol Addiction Therapy Integrated in a Transplant Center for Patients Awaiting Liver Transplantation. Alcohol and Alcoholism, 51, 40–46. doi:10.1093/alcalc/agv075.
Gual, A., Contel, M., Segura, L., Ribas, A. & Colom, J. (2001). The ISCA (Systematic Interview of Alcohol Consumption), a new instrument to detect risky drinking. Medicina Clínica, 117, 685–689.
Hill, S. & Kavookjian, J. (2012). Motivational interviewing as a behavioral intervention to increase HAART adherence in patients who are HIV-positive: a systematic review of the literature. AIDS Care, 24, 583–592. doi:10.1080/09540121.2011.630354.
Hjorthøj, C. R., Hjorthøj, A. R. & Nordentoft, M. (2012). Validity of Timeline Follow-Back for self-reported use of cannabis and other illicit substances--systematic review and meta-analysis. Addictive Behaviors, 37, 225–233. doi:10.1016/j.addbeh.2011.11.025.
Horrigan, T. J., Piazza, N. J. & Weinstein, L. (1996). The substance abuse subtle screening inventory is more cost effective and has better selectivity than urine toxicology for the detection of substance abuse in pregnancy. Journal of Perinatology, 16, 326–330.
Jensen, H. H., Mortensen, E. L. & Lotz, M. (2014). Drop-out from a psychodynamic group psychotherapy outpatient unit. Nordic Journal of Psychiatry, 68, 594–604. doi:10.3109/08039488.2014.902499.
Lligoña, A., Freixa, N., Bataller, R., Monràs, M. & Rimola, A. (2009). Clinical guideline for the evaluation of liver transplant candidates with addictions. Gastroenterología y Hepatología, 32, 155–161. doi:10.1016/j.gastrohep.2008.05.003.
Malinchoc, M., Kamath, P. S., Gordon, F. D., Peine, C. J., Rank, J. & ter Borg, P. C. (2000). A model to predict poor survival in patients undergoing transjugular intrahepatic portosystemic shunts. Hepatology, 31, 864–871. doi:10.1053/he.2000.5852.
Martin, P., DiMartini, A., Feng, S., Brown, R. & Fallon, M. (2014). Evaluation for liver transplantation in adults: 2013 practice guideline by the American Association for the Study of Liver Diseases and the American Society of Transplantation. Hepatology, 59, 1144–1165.
Mathurin, P. & Bataller, R. (2015). Trends in the management and burden of alcoholic liver disease. Journal of Hepatology, 62, S38–S46. doi:10.1016/j.jhep.2015.03.006.
Melanson, S. E. F., Ptolemy, A. S. & Wasan, A. D. (2013). Optimizing urine drug testing for monitoring medication compliance in pain management. Pain Medicine, 14, 1813–1820. doi:10.1111/pme.12207.
Moeller, K. E., Lee, K. C. & Kissack, J. C. (2008). Urine drug screening: practical guide for clinicians. Mayo Clinic Proceedings, 83, 66–76. doi:10.4065/83.1.66.
Nanau, R. M., & Neuman, M. G. (2015). Biomolecules and Biomarkers Used in Diagnosis of Alcohol Drinking and in Monitoring Therapeutic Interventions. Biomolecules, 5, 1339–1385. doi10.3390/biom5031339.
Niemelä, O. (2016). Biomarker-Based Approaches for Assessing Alcohol Use Disorders. International Journal of Environmental Research and Public Health, 13, 166. doi:10.3390/ijerph13020166.
Oslin, D. W., Pettinati, H. & Volpicelli, J. R. (2002). Alcoholism treatment adherence: older age predicts better adherence and drinking outcomes. The American Journal of Geriatric Psychiatry, 10, 740–747.
Page, T. F., Amofah, S. A., McCann, S., Rivo, J., Varghese, A., James, T., … Williams, M. L. (2015). Care Management Medical Home Center Model: Preliminary Results of a Patient-Centered Approach to Improving Care Quality for Diabetic Patients. Health Promotion Practice, 16, 609–616. doi:10.1177/1524839914565021.
Peles, E., Schreiber, S., Domany, Y. & Adelson, M. (2014). Impact of lifetime psychiatric diagnosis on long-term retention and survival of former opiate addicts in methadone maintenance treatment. The World Journal of Biological Psychiatry, 15, 629–635. doi:10.3109/15622975.2014.942359.
Piano, S., Marchioro, L., Gola, E., Rosi, S., Morando, F., Cavallin, M., … Angeli, P. (2014). Assessment of alcohol consumption in liver transplant candidates and recipients: the best combination of the tools available. Liver Transplantation, 20, 815–822. doi:10.1002/lt.23881.
Rehm, J., Gmel, G., Sierra, C. & Gual, A. (2018). Reduction of mortality following better detection of hypertension and alcohol problems in primary health care in Spain. Adicciones, 30, 9-18. doi:10.20882/adicciones.726.
Rustad, J. K., Stern, T. A., Prabhakar, M. & Musselman, D. (2015). Risk factors for alcohol relapse following orthotopic liver transplantation: a systematic review. Psychosomatics, 56, 21–35. doi:10.1016/j.psym.2014.09.006.
Sánchez Autet, M., Garriga, M., Zamora, F. J., González, I., Usall, J., Tolosa, L., … Arranz, B. (2017). Cribaje de trastornos por uso de alcohol en pacientes psiquiátricos ambulatorios: influencia de género, edad, y diagnóstico psiquiátrico. Adicciones. Advance publication online. doi:10.20882/adicciones.885.
Sansone, R. A., Bohinc, R. J. & Wiederman, M. W. (2015). Borderline personality symptomatology and compliance with general health care among internal medicine outpatients. International Journal of Psychiatry in Clinical Practice, 19, 132–136. doi:10.3109/13651501.2014.988269.
Staufer, K. & Yegles, M. (2016). Biomarkers for detection of alcohol consumption in liver transplantation. World Journal of Gastroenterology, 22, 3725–3734. doi:10.3748/wjg.v22.i14.3725.
Stewart, S. H., Koch, D. G., Burgess, D. M., Willner, I. R. & Reuben, A. (2013). Sensitivity and specificity of urinary ethyl glucuronide and ethyl sulfate in liver disease patients. Alcoholism, Clinical and Experimental Research, 37, 150–155. doi:10.1111/j.1530-0277.2012.01855.x.
Surman, O. S., Cosimi, A. B. & DiMartini, A. (2009). Psychiatric care of patients undergoing organ transplantation. Transplantation, 87, 1753–1761. doi:10.1097/TP.0b013e3181a754d4.
Telles-Correia, D., Barbosa, A., Mega, I. & Monteiro, E. (2009). Adherence correlates in liver transplant candidates. Transplantation Proceedings, 41, 1731–1734. doi:10.1016/j.transproceed.2009.02.067.
Webzell, I., Ball, D., Bell, J., Sherwood, R. A., Marsh, A., O’Grady, J. G. & Heaton, N. D. (2011). Substance use by liver transplant candidates: an anonymous urinalysis study. Liver Transplantation, 17, 1200–1204. doi:10.1002/lt.22370.
Wurst, F. M., Thon, N., Yegles, M., Schrück, A., Preuss, U. W. & Weinmann, W. (2015). Ethanol metabolites: their role in the assessment of alcohol intake. Alcoholism, Clinical and Experimental Research, 39, 2060–2072. doi:10.1111/acer.12851.
Wurst, F. M., Vogel, R., Jachau, K., Varga, A., Alling, C., Alt, A. & Skipper, G. E. (2003). Ethyl glucuronide discloses recent covert alcohol use not detected by standard testing in forensic psychiatric inpatients. Alcoholism, Clinical and Experimental Research, 27, 471–476. doi:10.1097/01.ALC.0000057942.57330.E2.


