DOI:
https://doi.org/10.20882/adicciones.872Palabras clave:
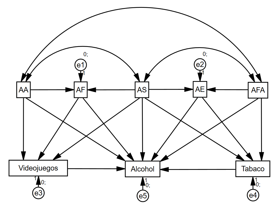
Resumen
Citas
Anderson, C. A., Shibuya, A., Ihori, N., Swing, E. L., Bushman, B. J., Sakamoto, A., … Saleem, M. (2010). Violent video game effects on aggression empathy, and prosocial behaviour in eastern and western countries: a meta-analytic review. Psychological Bulletin, 136, 151-173. doi:10.1037/a0018251.
Armendáriz, N. A., Alonso, M. M., Alonso, B. A., López, M. A., Rodríguez, L. A. y Méndez, M. D. (2014). La familia y el consumo de alcohol en estudiantes universitarios. Ciencia y Enfermería, 20, 109-118. doi:10.4067/S0717-95532014000300010.
Beltrán, E. y Chamarro, A. (2016). Videojugadores del League of Legends: El papel de la pasión en el uso abusivo y en el rendimiento. Adicciones, 28, 28-34. doi:10.20882/adicciones.787.
Bewick, B., Koutsopoulou, G., Miles, J., Slaa, E. y Barkham, M. (2010). Changes in undergraduate students’ psychological well-being as they progress through university. Studies in Higher Education, 35, 633-645. doi:10.1080/03075070903216643.
Bustos, V., Oliver, A. y Galiana, L. (2015). Validación del Autoconcepto Forma 5 en Universitarios Peruanos: Una herramienta para la psicología positiva: Psicología Reflexao e Critica, 28, 690-697.
Byrne, B. M. (2013). Structural equation modelling with AMOS: Basic concepts, applications, and programming. Routledge: New York.
Chacón, R., Castro, M., Caracuel, R., Padial, R., Collado, D. y Zurita, F. (2016). Perfiles de consumo de alcohol y tabaco en adolescentes andaluces de primer ciclo de educación secundaria. Health and Addictions Journal, 16, 93-104.
Chacón, R., Zurita, F., Castro, M., Espejo, T., Martínez-Martínez, A. y Linares, M. (2016). Estudio sobre la aplicabilidad de los exergames para la mejora de los índices de obesidad y la imagen corporal en escolares. Revista Iberoamericana de Psicología del Ejercicio y el Deporte, 11, 97-105.
Chamarro, A., Carbonell, X., Manresa, J. M., Muñoz-Mirallles, R., Ortega-González, R., López-Morrón, M. R., … Torán-Monserrat, P. (2014). El Cuestionario de Experiencias Relacionadas con los Videojuegos (CERV): Un instrumento para detectar el uso problemático de videojuegos en adolescentes españoles. Adicciones, 26, 303-311. doi:10.20882/adicciones.31.
Dudovitz, R. N., Li, N. y Chung, P. J. (2013). Behavioral self-concept as predictor of teen drinking behaviors. Academic Pediatrics, 13, 316-321. doi:10.1016/j.acap.2013.03.005.
Fuentes, M., García, J. F., Gracia, E. y Lila, M. (2011). Autoconcepto y ajuste psicosocial en la adolescencia. Psicothema, 23, 7-12.
García, F. y Musitu, G. (1999). AF5: Autoconcepto Forma 5. Madrid: TEA Ediciones.
García-Laguna, D. G., García-Salamanca, G. P., Tapiero-Paipa, Y. T. y Ramos, D. M. (2012). Determinantes de los estilos de vida y su implicación en la salud de jóvenes universitarios. Hacia la Promoción de la Salud, 17, 169-185.
Gentile, D., Choo, H., Liau, A., Sim, T., Li, D., Fung, D. y Khoo, A. (2011). The multiple dimensions of video game effects. Child Development Perspectives, 5, 75-81. doi:10.1542/peds.2010-1353.
Greenfield, P. M. (2014). Mind and media: The effects of television, video games, and computers. Psychology Press: New York.
Greenwald, A. G. y Famham, S. D. (2000). Using the implicit association test to measure self-esteem and self-concept. Journal of Personality and Social Psychology, 79, 1022-1038. doi:1037/0022-3514.79.6.1022.
Haapanen, M. y Tervo, H. (2012). Migration of the highly educated: Evidence from residence spell of university graduates. Journal of Regional Science, 52, 587-605. doi:10.1111/j.1467-9787.2011.00745.x.
Hattie, J. (2014). Self-concept. Psychology Press: New York.
Heatherton, T., Kozlowski, L., Frecker, R. y Fagerström, K. O. (1991). The Fagerström Test of Nicotine Dependence: a revision of the Fagerström Tolerance Questionnaire. British Journal of Addiction, 86, 1119-1127.
Jackson, L., Von Eye, A., Fitzgerald, H., Zhao, Y. y Witt, E. A. (2010). Self-concept, self-esteem, gender, race and information technology use. Computers in Human Behavior, 26, 323-328. doi:10.1016/j.chb.2009.11.001.
Karpinski, A. C., Kirschner, P. A., Ozer, I., Mellott, J. A. y Ochwo, P. (2013). An exploration of social networking site use, multitasking and academic performance among United States and European University students. Computers in Human Behavior, 29, 1182-1192. doi:10.1016/j.chb.2012.10.011.
Kelly, A., Chan, G., Mason, W. y Williams, J. (2015). The relationship between psychological distress and adolescent polydrug use. Psychology of Addictive Behaviors, 29, 787-793. doi:10.1037/adb0000068.
Kobiella, A., Ripke, S., Kroemer, N. B., Vollmert, C., Vollstad-Klein, S., Ulshofer, D. y Smolka, M. N. (2014). Acute and chronic nicotine effects on behaviour and brain activation during intertemporal decission making. Addiction Biology, 19, 918-930. doi:10.1111/adb.12057.
Lu, A., Kharrazi, H., Gharghabi, F. y Thompson, D. (2013). A Systematic Review of Health Videogames on Childhood Obesity Prevention and Intervention. Games for Health Journal, 2, 131-141. doi:10.1089/g4h.2013.0025.
Marsh, H. W. (2007). Handbook of Sport Psychology. Third Edition. Tenenbaum and R. C. Eklund: New Jersey.
Martínez, A., Zurita, F., Castro, M., Chacón, R., Hinojo, M. A. y Espejo, T. (2016). La elección de estudios superiores universitarios en estudiantes de último curso de bachillerato y ciclos formativos. Educare, 20, 1-18. doi:10.15359/ree.20-1.13.
Maurage, P., Joassin, F., Speth, A., Modave, J., Philippot, P. y Campanella, S. (2012). Cerebral effects of binge drinking: Respective influences of global alcohol intake and consumption pattern. Clinical Neurophysiology, 123, 892-901. doi:10.1016/j.clinph.2011.09.018.
McKay, M. T., Sumnall, H. R., Cole, J. C. y Percy, A. (2012). Self-esteem and self-efficacy: Associations with alcohol consumption in a sample of adolescents in Northern Ireland. Drugs: education, prevention and policy, 19, 72-80. doi:10.3109/09687637.2011.579585.
Mezquita, L., Stewart, S., Kuntshe, E. y Grant, V. (2016). Estudio transcultural del modelo de cinco factores de motivos de consumo de alcohol en universitarios españoles y canadienses. Adicciones, 28, 215-220. doi:10.20882/adicciones.822.
Moreno, J. A., Moreno, R. y Cervelló, E. (2009). Relación del autoconcepto físico con las conductas de consumo de alcohol y tabaco en adolescentes. Adicciones, 21, 147-154. doi:10.20882/adicciones.242.
Muros-Ruiz, B., Aragón-Carretero, Y. y Bustos-Jiménez, A. (2013). La ocupación del tiempo libre de jóvenes en el uso de videojuegos y redes. Comunicar, 20, 31-39. doi:10.3916/C40-2013-02-03.
Murray, D. E., Durrazo, T. C., Mon, A., Schmidt, T. P. y Meyerhoff, D. J. (2015). Brain perfusion in polysubstance users: Relationship to substance and tobacco use, cognition, and self-regulation. Drug and Alcohol Dependence, 150, 120-128. doi:10.1016/j.drugalcdep.2015.02.022.
Murray, J., Farrington, D. y Sekol, I. (2012). Children’s antisocial behaviour, mental health, drug use, and educational performance after parental incarceration: A systematic review and meta-analysis. Psychological Bulletin, 138, 175-210. doi:10.1037/a0026407.
OMS (2015a). Alcohol. Nota descriptiva Nº 349. Consultado en la Word Wide Web el 12 de Junio de 2016: http://www.who.int/mediacentre/factsheets/fs349/es.
OMS (2015b). Tabaco. Nota descriptiva Nº 339. Consultado en la Word Wide Web el 12 de Junio de 2016: http://www.who.int/mediacentre/factsheets/fs339/es.
Palmer, R., Knopik, V., Hyun, S., Hopfer, C., Corley, R., Young, S., … Hewitt, J. (2013). Prospective effects of adolescent indicators of behavioural disinhibition on DSM-IV alcohol, tobacco, and illicit drug dependence in young adulthood. Addictive Behaviors, 38, 2415-2421. doi:10.1016/j.addbeh.2013.03.021.
Portolés, A. y González, J. (2015). Rendimiento académico y correspondencias con indicadores de salud física y psicológica. Sportis, 1, 164-181. doi:10.17979/sportis.2015.1.2.1409.
Primack, B., Carroll, M., McNamara, M., Lou, K., King, B., Rich, M., … Nayack, S. (2012). Role of video games in imporving health-related outcomes: A systematic review. American Journal of Preventive Medicine, 42, 630-638. doi:10.1016/j.amepre.2012.02.023.
Rodríguez-Fernández, A., Droguett, L. y Revuelta, L. (2012). School and Personal Adjustment in Adolescence: The Role of Academic Self-Concept and Perceived Social Support. Revista de Psicodidáctica, 17, 397-414. doi:10.1387/RevPsicodidact.3002.
Rubio, G. (1998). Validación de la prueba para la identificación de trastornos por el uso de alcohol (AUDIT) en Atención Primaria. Revista Clínica Especializada, 198, 11-14.
Sánchez-Sosa, J. C., Villarreal-González, M. E., Ávila, M. E., Vera, A. y Musitu, G. (2014). Contextos de socialización y consumo de drogas ilegales en adolescentes escolarizados. Psychosocial Intervention, 23, 69-78.
Saunders, J., Aasland, O., Babor, T., De la Fuente, J. y Grant, M. (1993). Development of the Alcohol Use Disorders Identification Test (AUDIT): Who collaborative Project on early detection of persons with harmful alcohol consumption-II. Addiction, 88, 791-804.
Shavelson, J., Hubner, J. J. y Stanton, G. C. (1976). Self-concept: validation of construct interpretations. Review of Educational Research, 46, 407-442.
Teixeira, P. J., Carraça, E. V., Markland, D., Silva, M. N. y Ryan, R. M. (2012). Exercise, physical activity, and self-determination theory: a systematic review. International Journal of Behavioral Nutrition and Physical Activity, 9, 1. doi:10.1186/1479-5868-9-78.
Unsworth, N., Redick, T. S., McMillan, B. D., Hambrick, D. Z., Kane, M. J. y Engle, R. W. (2015). Is playing video games related to cognitive abilities? Psychological Science, 26, 759-774. doi:10.1177/0956797615570367.
Van Rooij, A. J., Schoenmakers, T. M., Vermulst, A., Vermulst, A., Van den Eijden, R. y Van de Mheen, D. (2010). Online video game addiction: identification of addicted adolescent gamers. Addiction, 106, 205-210.
Vaquero, R., Isorna, M. y Ruiz, C. (2012). Revisión sobre la situación actual del consumo de alcohol y práctica físico-deportiva. Journal of Sport and Health Research, 4, 269-288.
Villareal-González, M. E. (2009). Un modelo estructural del consumo de drogas y conducta violenta en adolescentes escolarizados. Tesis Doctoral: Universidad Autónoma de Nuevo León (México).
Zurita, F., Castro, M., Álvaro, J. I., Rodríguez, S. y Pérez, A. J. (2016). Autoconcepto, Actividad física y Familia: Análisis de un modelo de ecuaciones estructurales. Revista de Psicología del Deporte, 25, 97-104.



